Cirkevné gymnázium Štefana Mišíka
MATEMATIKA, FYZIKA, INFORMATIKA
streda 1. decembra 2021
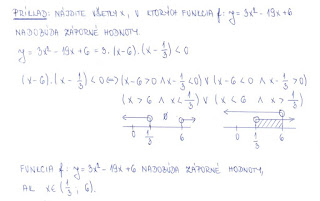
1. ročník RŠI, Matematika 1, Interval, v ktorom funkcia nadobúda záporné hodnoty
Žiadne komentáre:
Zverejnenie komentára
Novší príspevok
Staršie príspevky
Domov
Prihlásiť na odber:
Zverejniť komentáre (Atom)
Žiadne komentáre:
Zverejnenie komentára